この間、手帳を忘れてしまったときに、頭の中で
「えーっとあの週はセッションがあって」
「あの週は確かあの方のレッスンがあって・・」
と予定を思い出していて、
と考えてみましたところ、
コード進行を思い浮かべながらアドリブしてる感じにすっごい似てる!!
ということに気づきました。
1小節ごとに付いていくから置いて行かれる
下の画像をご覧ください。

ある会社員の2週間の予定を書いてみたのですが、
これをパッと見て、
いまから3時間後に全ての予定を正確に思い出すことはできますか?
3時間後ならまだ思い出せるかもしれませんが、
極度に緊張しているとき、とってもお腹が空いているとき、2ヶ月後、
果たして全て正確に思い出せるでしょうか?
結構難しいと思います。
では、先ほどの予定を、大切そうなイベントだけに絞って示してみます。
すると、このくらいシンプルになりました。

普段、来月の予定を頭の中で思い出すときって、
このくらいシンプルではありませんか?
来月、再来月の予定なんて、1日1日、事細かに覚えていないですよね。
すごく楽しみにしているイベントや、
かなり重点を置いているイベントが真っ先に思い出されると思います。
このくらいシンプルに、1週間ずつのざっくりした予定を思い出すのは、容易いです。
それと同じで、
アドリブのコード進行も、
1小節ごとにコード進行に付いて行こうとすると、
間に合わずに置いて行かれてしまいます。
1段ごと、の区切りでコード進行を覚えるのがポイントです。
具体的な実践方法
1段ごとにコード進行を思い出すと言っても、
どのようにシンプルにするのか、が大切です。
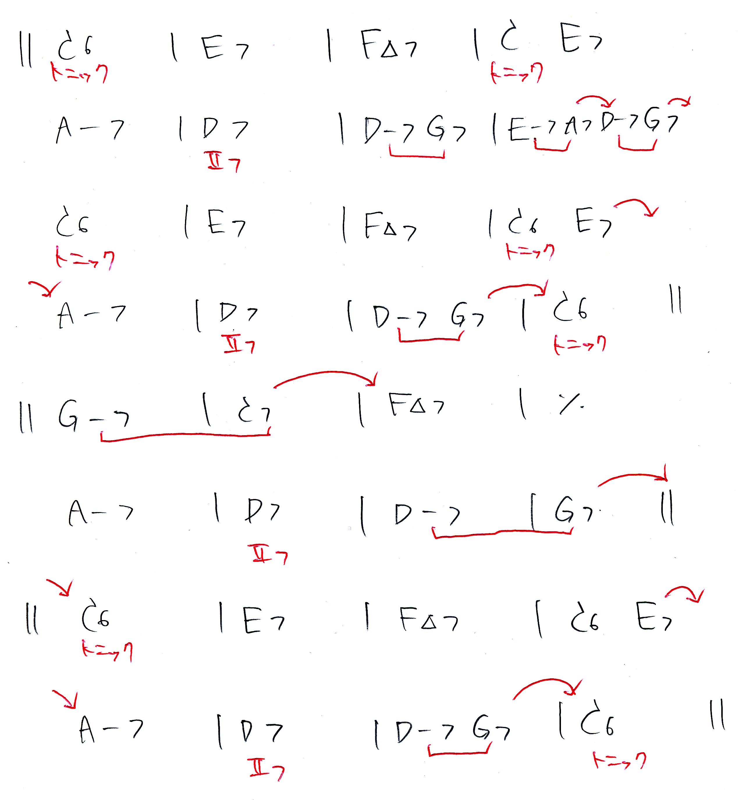
「On the sunnyside of the street」のコード進行を使って、
説明させていただきます。
例えば元のコード進行は以下のようになります。

ツーファイブや4度進行しているところには赤文字で印を付けました。
これだと覚えるのが結構大変そうですね・・。
では、来月の予定を思い出すような感覚で、もっとシンプルにコード進行をとらえてみます。
すると、こうなります。

シンプルなコード進行では、
Cメジャーの家族のようなコード
(=ダイアトニックコードやセカンダリードミナントコード)は
全て「Cメジャー」という呼び名に頭の中で統一しています。
それだけですと、演奏がつまらなくなってしまうので、
余裕のある箇所だけ、「この段は〇〇のツーファイブ」という風に覚えておきます。
上の画像の5段目をご覧ください。
「Gm7 の次がC7で、その次がF△7が2小節で・・」と、元のコード進行で考えると、
慌ただしく、すごく大変そうなのですが、
上の画像のように、
と思ってしまえば、それ1つで4小節間おだやかに過ごせます。
細かいコードにも追いつくには
シンプルに、とは言っても、
細かいコードをすっぽかすのはちょっと・・と抵抗がありますよね。
細かいコード進行も、演奏中に思い出す方法もちゃんとあります。
例えば4小節目の、Am7へ向かうE7(セカンダリードミナント)などは、
始めからそこまでくっきり覚えていなくても、
↓
ってことは、その前の4小節目には
「Am7 に解決するセブンスコードのE7」があったな、たしか・・
もし間に合わなくても、
2段目の頭に「Am7 D7のツーファイブ」が入っていたなぁ
というシンプルな事柄さえ覚えておけば、
パニックにならず、2段目からはちゃんと演奏に戻ることもできます。
コード進行は丸暗記だと「ど忘れ」しやすい
あまり意味を考えずに、ただの丸暗記で「4小節目がE7だ」と覚えたり、
全て完璧に覚えなければ!!と1小節ごとにコードに追いつこうとすると、
セッションなどの本番ではパニックになってしまい、
コード進行に付いていくことが難しくなります。
先ほどの手帳の例を使うとすれば、
ってことは、2週目の終わりまでに店を予約しとかないとダメだな・・(E7)
と関連付けることで、細かい予定を思い出すことができます。
コード進行の分析が重要
コード進行のアナライズをすることで、
飲み会(Am7 D7)=店の予約(E7) のような関連付けができ、
細かいコードもサッと思い出せるようになるので、
コード進行のアナライズが欠かせない
ということになります。







コメント