Yardbird Suiteは、課題曲になることが多いようで、
よく生徒さん方から、アドリブ方法についてご質問をいただくことが多いです。
今回は、Yardbird Suiteのコード進行の解釈やアドリブ方法を記事にします。
Youtubeに最近アップしましたこちらの動画でも、
今回紹介させていただくコード進行の解釈やアドリブ方法で演奏しています。
もし練習の参考になりましたら嬉しいです♪
ツーファイブフレーズを当てはめる
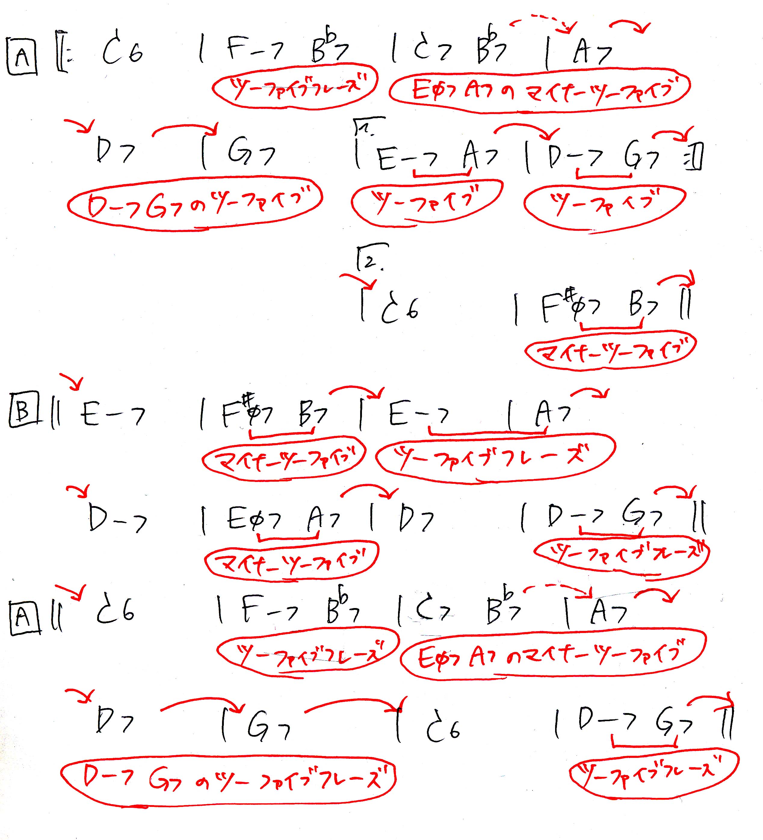
Yardbird Suiteのコード進行には、
ツーファイブのフレーズを当てはめられるところがたくさんあります。
そこをばっちり押さえることで、
Bebopらしい、ドミナントモーションが心地よい、
チャーリーパーカー感のあるアドリブを演奏することができます。

Dm7 | G7というツーファイブのコード進行として解釈する
と、演奏しやすく、サウンドしやすいです。
この曲のKeyであるC△7に解決するツーファイブですので、オルタードフレーズも使用可能です。
Em7b5 | A7というマイナーツーファイブのコード進行として解釈する
と、演奏しやすくサウンドしやすいです。
サビの部分は、Em7に解決するマイナーツーファイブ(F#m7b5 B7)も登場するので、
マイナーツーファイブの良い練習になります。
ツーファイブのフレーズを集めるのに、フレーズ集を活用するのも良いと思います。

ペンタトニックで自由に演奏する
Cメジャーペンタトニック(=Aマイナーペンタトニック)フレーズが使えます。

この曲はかなり大まかにとらえると、
Cメジャーペンタトニック(Aマイナーペンタトニック)フレーズ1発
で演奏できなくもないのですが、
フレーズによっては、CメジャーペンタトニックのEの音と、
Fm7のEbの音がぶつかり、とても違和感が感じられるからです。
Cマイナーペンタトニック(Cブルーノートスケール)でフレージングすると、
2小節目のFm7 Bb7の箇所でもあまり気にすることなく演奏することができます。
ずっとCマイナーペンタトニック1発で演奏するのは、少しもったいないです。
→Eナチュラルの明るい音(Cメジャーペンタに含まれる音)も使うのがオススメです。
Emに解決するF#m7b5 B7のツーファイブワンの間は「Eマイナーペンタ」
Dmに解決するEm7b5 A7のツーファイブワンの間は「Dマイナーペンタ」
で演奏すると、サウンドしやすいです。
ペンタトニックについてオススメのフレーズ集はこちらです。

7thフレーズを使う
ツーファイブフレーズを当てはめる、という最初の項目で、
5〜6小節目のD7 | G7 というコード進行は
Dm7 | G7というツーファイブに解釈を変えることをオススメしましたが、
せっかくの「A7 → D7 → G7」という7thコードの連続ですので、
7thのフレーズをうまく連結して演奏するのも、ビバップらしくてカッコ良いです。
7thフレーズは、Bebopの醍醐味ですので、ぜひマスターなさってください♪
7thフレーズについての記事はこちら








コメント