前回はスタンダード曲「枯葉 Autumn Leaves」を使って、
ツーファイブワンのフレーズ当てはめ練習を行いました。
今回はさらに自由度&簡単度が増す「マイナーフレーズ」の攻略法を紹介いたします。
キーが分かれば4小節間おなじフレーズを使いまわせる
枯葉にはAm7b5-D7b9-Gmというコード進行が頻繁に出てきますね。
Am7b5-D7はマイナートニックに向かうツーファイブであり、
Gmはその終着点・ゴールのような安定したサウンド「マイナートニック」である
Gmはその終着点・ゴールのような安定したサウンド「マイナートニック」である
というのを以前に紹介しました。
こちらの記事を参照ください。

コードをグループ分けしよう
なにか自分の中で課題曲があったとして、その曲のアドリブを練習する前に考えるべきことがあります。アドリブをするにはフレーズが必要です。「どんなフレーズを集めるべきなのか」を自分で把握しておかなければなりません。フレーズを集めるときのポイントは...
Am7b5-D7b9-Gmというコード進行のとき、
この3小節間は「フラットが2つのGmのKey Signature(調号)」である
この3小節間は「フラットが2つのGmのKey Signature(調号)」である
と言います。
このコード進行のとき、Am7b5-D7b9-Gmとしてストックした
ツーファイブワンのフレーズを吹くのも良いのですが、
Am7b5-D7b9-Gmという4小節を通して、
Gマイナーのペンタトニック+ブルーノートの音を使ったフレーズを吹くことができます。

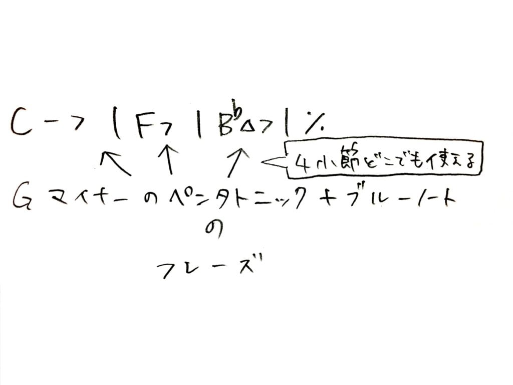
枯葉にはCm7-F7-Bb△7というコード進行もよく出てきます。
このコード進行のときも、
4小節を通してGマイナーのペンタトニック+ブルーノート
の音を使ったフレーズを吹くことができます。

なぜなら、BbメジャーはGマイナーとよく似たサウンドをしているからです。
(BbメジャーやGマイナーはコード名ではなく、Key=調号のことです)
どちらもフラットが2つのスケールですね?
BbメジャーはGマイナーは平行調の関係にあります。
マイナーペンタトニックフレーズが掲載されているフレーズ集

「ペンタトニック」の「ジャズアドリブフレーズ集」販売開始しました
本日より、私が制作したジャズアドリブフレーズ集Vol.2 よく出るキー順ペンタトニックと3-6-2-5-1進行のフレージングの販売を開始しました。C楽器用・Eb楽器用・Bb楽器用・低音楽器用の4種類をご用意しています。ジャズアドリブフレーズ...
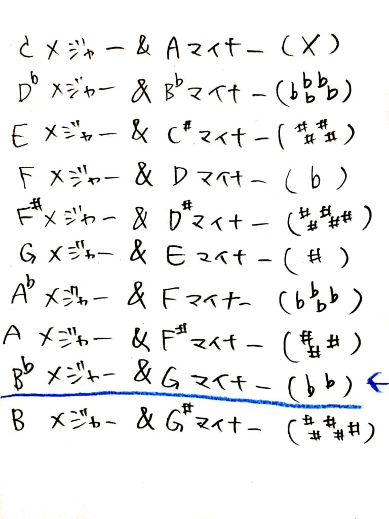
平行調を覚えよう
平行調の表を作りましたので、こちらを参照ください。
( )の中は調号になっています。

Am7b5-D7b9-GmのときもCm7-F7-Bb△7のときも、
Gマイナーのペンタトニック+ブルーノートフレーズを吹ける
Gマイナーのペンタトニック+ブルーノートフレーズを吹ける
ということは、
枯葉の一曲全て、
どの箇所でもGマイナーのペンタトニック+ブルーノートの音を使ったフレーズ
を吹くことができるんです!!
便利ですよね??

コード進行に沿ったペンタトニックフレーズの選び方 | 完全版
▼コード進行に沿ったペンタトニックフレーズの選び方 解説動画無料でご視聴いただけます。B-027 コード進行に沿ったペンタトニックフレーズの選び方 from Nanako-Jazz Nanako Shibuya on Vimeo.この動画は...
では次回に実際にマイナーフレーズを使って、枯葉でアドリブをしてみましょう!







コメント