コード進行は、コードを省いたり、書かれていないコードを想定したりすることで、
意外と色々な解釈の仕方をすることができ、アドリブしやすくなります。
一見複雑に見えるコード進行も、
なるべく簡単に解釈して演奏すれば、そんなに怖いものではなくなります。
今回は「If I Should Lose You」を参考に、
コード進行をなるべく簡単にするコツをご紹介します。
まず、大切な基本事項を確認
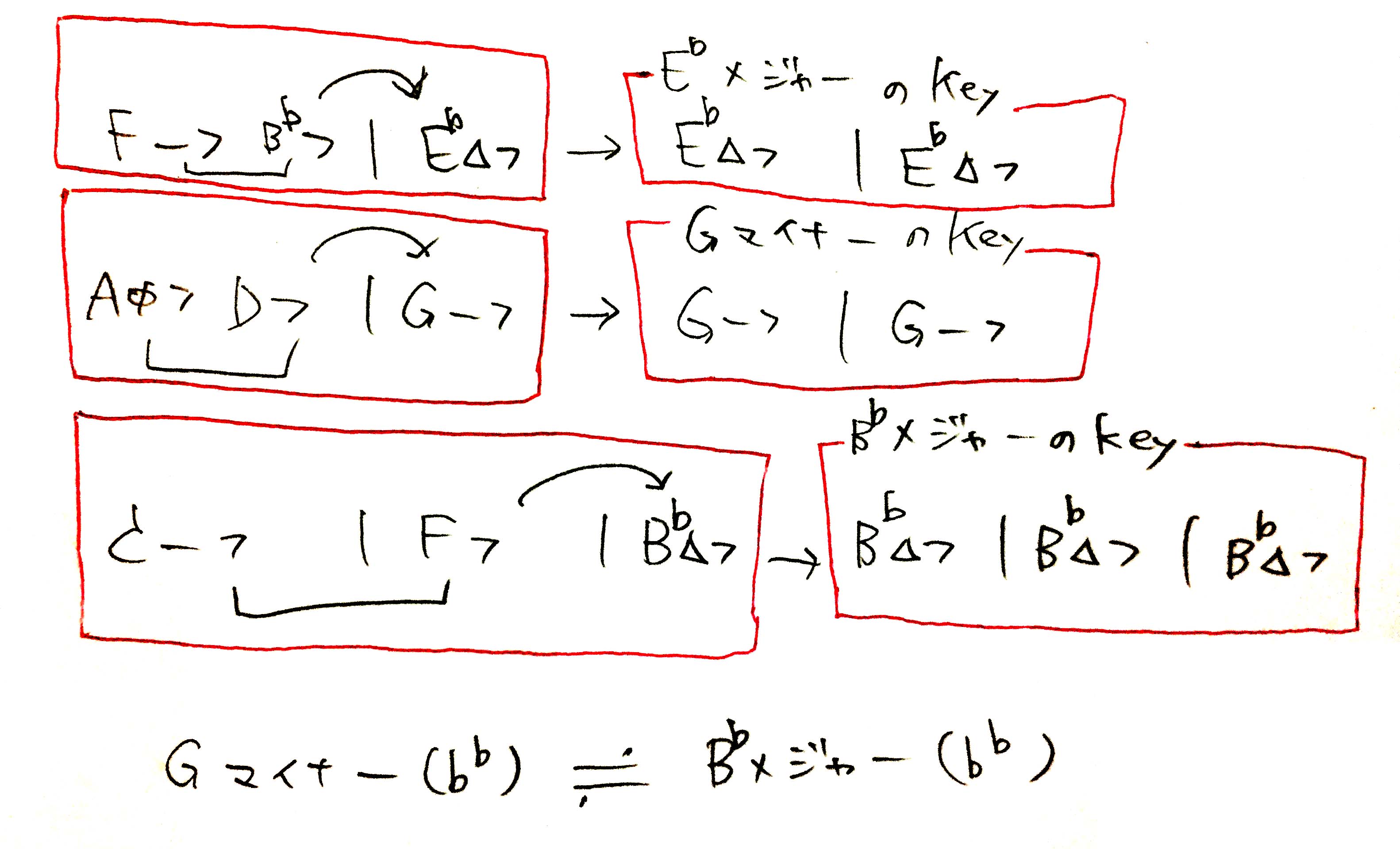
ツーファイブは、ツーファイブの解決先のトニック一発と
とらえることができました。
とらえることができました。
また、BbメジャーとGマイナーは平行調(フラットが2つのKey)です。
Bbメジャー用のフレーズも、Gマイナー用のフレーズも、
お互いに共通して使うことができます。
Bbメジャー用のフレーズも、Gマイナー用のフレーズも、
お互いに共通して使うことができます。

If I Should Lose Youをアドリブしやすくアナライズ
黒い字が元のコード進行、
赤い字の方がアドリブしやすいようにアナライズし直したものです。

<補足>
・4段目のGm7 | C7は、「C7がBbメジャーに対して2度セブンス」ですので、
「Gm7-C7のツーファイブフレーズ」か、「Gマイナートニックフレーズ」を演奏すると、
サウンドします。
・また、4段目のCm7はBb△7へ向かうツーファイブの「ツーの部分」と捉えて、
Bbメジャーに分類しました。
赤い字のコード進行を想定して演奏すると、
ペンタトニックやトニックフレーズ一発でアドリブすることができます。
ペンタトニックやトニックフレーズ一発でアドリブすることができます。
一発で演奏するところと、ツーファイブで演奏するところをうまく使い分けて
しかしメジャーペンタやマイナーペンタ一発ではすぐにネタ切れしてしまいますので、
例えば
「3段目では絶対にCm7 | F7 | Bb△7のツーファイブワンフレーズを演奏する。
その他のところは全て一発で演奏する。」
などルールを決めて、変化をつけるのも大切です。
どのツーファイブフレーズを、どの場所で吹くか、必ず決めてから演奏しましょう。
曖昧にしておくと、どう練習して良いやら分からなくなって、やる気が失せてしまいます。







コメント