ポップスのコード進行は、
コード進行のほとんどがダイアトニックコードで構成されている場合が多く、
よって、ソロもスケール一発で演奏することができます。
ダイアトニックコードの中にいるときに、転調は起こっていないからです。
ポップスのコード進行にはダイアトニックが多い
例えばLovin’ Youのコード進行も
このダイアトニックコードのみで作られています。

それに比べジャズのコード進行は、ダイアトニックコード以外のコードが多く出て来ます。
1曲の中に転調がある
「ジャズは転調の音楽である」という言葉があります。
ダイアトニックコード以外のコードが出て来たとき、
それはダイアトニックへ向かうためのクッションの役割であることが多いです。
それはダイアトニックへ向かうためのクッションの役割であることが多いです。
ダイアトニックコード以外のコード
Fメジャーのダイアトニックコード

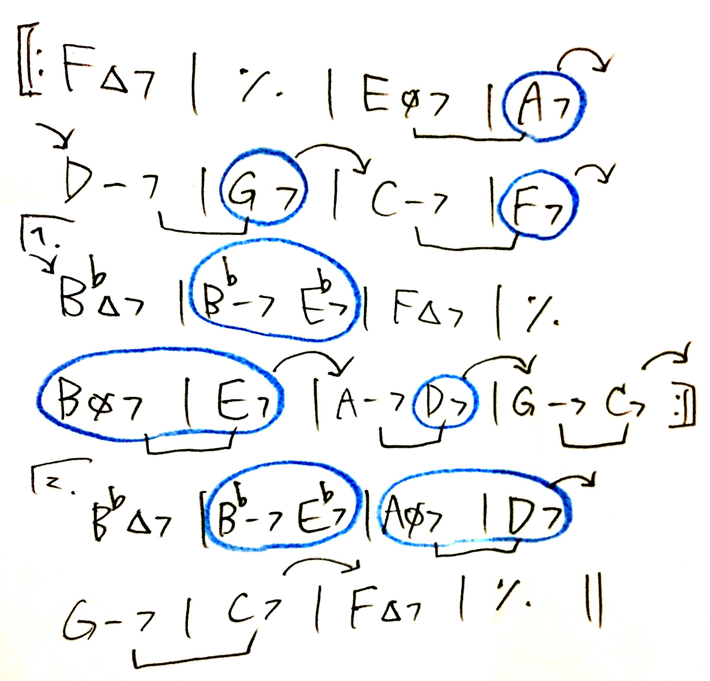
「I’ll Close My Eyesのコード進行」をご覧ください。
青丸で囲んであるものがダイアトニック以外のコードです。

これらのクッションとなるコードは、
4度進行していたり、ツーファイブのペアになったりしていることが多いです。
4度進行していたり、ツーファイブのペアになったりしていることが多いです。
一時的に転調している、と考えると演奏しやすい
ダイアトニック以外のクッションとなるコードは、
「一時的に転調している」と考えると演奏しやすいです。
どのKeyに転調しているかは、
そのコードの完全4度上、または完全5度下を考えると分かります。
例えば
3・4小節目のEm7b5 | A7は、2小節間だけ一時的にDマイナーへ転調している
5・6小節目のDm7 | G7は一時的にCメジャーへ転調している
5・6小節目のDm7 | G7は一時的にCメジャーへ転調している
というように解釈してみましょう。
そして、その転調したキーのツーファイブフレーズなどを演奏するとサウンドします。
アドリブの初期の勉強段階では、自分でフレーズを考えずに、偉人たちのフレーズ(言葉)を使って
ソロを学んでいく方法をお勧めしています。
そのときに、このような、小節ごとのKeyの把握ができていると、フレーズのサウンドをより理解することができ、言語を覚えやすくなると思います。







コメント